또 수능날..
역사와 전통을 자랑하는 문제에는 역사와 전통을 자랑하는 해결책이 늘 있다. 뭔가 마음에 안들면 싸그리 치워버리고 다시 하는 '매우 우아한' 솔루션이 있지만, 머리에 든 게 없거나, 어디선가 들어본 적도 없는 방법을 써야하는 문제라면 싸그리 치운 뒤 새로 만든다해도 다시 마음에 안드는 것만을 만들 수 밖에 없다. 그 (머리에 든 게 없는) 상태라면 어떤 질문을 해야할지도 모르기 때문에 '역사와 전통을 자랑하는 해결책'을 알아내는데까지 시간이 매우 많이 걸리게 된다. 그래서 좋은 질문을 하기 위한 기본적인 것들을 배우고 익히는 것이 중요하고, 그 뒤에도 약간의 멘토링이 필요하다.
그렇다면, 이제, 어디까지가 기본인지가 중요해진다. 또 그 기본을 어떻게 배워야 할 지도 중요하다.
이번 주 강의에, 우리 학부 1학년들에게 PID 제어라는 걸 알려줘야 했다. PID 제어는 이미 100년하고도 수십년 전부터 산업에서 사용되고 있었고, 대략 100년쯤 전에 formal 하게 정리되고, 7-80년쯤 전에 지금과 같은 형태로 정립된 후, 온갖 PID 제어 관련 꼼수들이 수학으로 설명되어 책의 한 챕터를 차지하는 제어 방법이 된지 오래다. 즉 역사와 전통을 자랑하는 문제들이 먼저 있었고 PID 제어가 그 문제에 대한 역사와 전통을 자랑하는 해결책인 것이다.
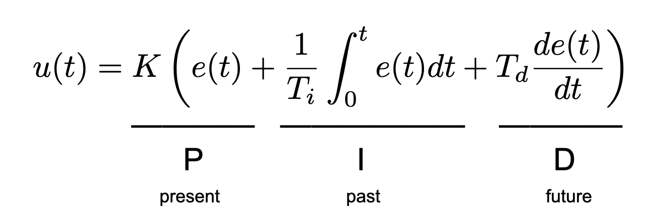
바뜨, 모든 PID 제어의 설명 맨 앞에 있는 다음 식의 어디서 본듯한 모양의 적분 기호와 미분을 암시하는 듯한 알파벳 d가 학생들로 하여금 PID 제어의 본질을 이해하는 걸 방해를 할 지도 모른다고 바로 느껴진다. (이 글을 읽고 계신 여러분들도 그러신가?)

내 눈에 그 어려운 기호들보다 먼저 마음에 걸리는 것은 수식에 있는 괄호들과, 결정적으로 '나누기'이다. 많은 학생들은 '나누기'부터 방해를 받는다. (수포자는 미적분을 포기한 자가 아니라 나누기를 포기한 자이다.) 우리 과목에서 해결하고하는 문제는, 레일 위에 탁구공을 올리고 경사를 이리저리 기울여 탁구공을 원하는 위치로 제어하는 것이다. '직관적인'이란 단어를 쓰지 않아도 데모를 보는 순간 문제는 명확하다. 학생들이 지금까지의 수업을 그럭저럭 따라왔다면 제어의 결과 (즉, 공과 센서와의 거리) 측정도 잘 가능하다. PID 제어는 문제 해결을 위한 단계적 방법을 배우고 있는 과정의 마지막 단계에 등장한다. 주어진 문제 자체는 뻔해서 이슈가 아니고, 해결책인 P, I, D 제어가 각각 뭔지, 그것들이 복합적으로 적용될 때 어떻게 될지에 대한 완전 직관적인 설명이 학생들에게 필요하다. 그 다음에 수학이 살살 등장해야 한다. 사실 (너무 자세히 말고, 적당히 뭔가를 제어하기에) PID 제어에서 수식은 실제로 찌끄레기에 불과한 편이지만, 그것조차 먼저 나오면 큰 문제가 되는 것이다. 대개의 PID 제어에 관한 서적들은 잘난척하느라고 그랬는지 수식을 너무 많이 도입했고, 쉽게 찾아지는 블로그등 인터넷 자료, 동영상들은 대부분 위에 있는 식을 먼저 보여주고, P,I,D의 의미를 직관적으로 (그림과 애니메이션을 섞어) 설명하려고 노력한다.
그래도 소프트웨어 관련 전공인지라, 대부분 이과 출신이라 수학을 조금은(!) 배우고 온 친구들이지만 몇명을 빼고는 수학과 친하게 지낸 흔적이 거의 없다. 수학을 왜 문제인지도 모르는 문제 풀이로만 배운 결과이다. 아마도 그 수학과 친했던 몇 명도 PID 제어를 그 수식을 연동해서 ‘알아서’ 이해할 수 있는 자는 거의 없을 것이다. 고등학교 수학을 배울 때 '진짜' 문제에서 시작해서 배운 경험과 기억이 없기 때문일거다.
나중에 알고나면 다 별거 아닌 것을 진짜 별거 아니게 느끼는 과정이 깨닫고 배우는 과정이다. 그 소소한 깨달음이 경험으로 쌓이면서 더 큰 동기를 만들고 지식을 찾아서 배우게 한다. 그 과정이 소위 말하는 PBL*이라고 난 생각한다. 여기서 중요한 건 P가 아니고 L이다. 학교에서라면 L을 온전히 얻기 위해 P가 단계적으로 잘 설계되어 있었어야 하고 그 단계를 잘 이끌어주는 시스템(aka. 평가)이 필요하다. 요즘 교과서 자체는 P도 예전보다는 잘 기술되어 있는 듯 하지만, 우리의 (평가) 시스템은 P를 생각할 시간을 주지않기 때문에, 학생들은 자기가 풀어야 하는 문제가 왜 문제인지도 모르는 상태에서 엄청난 지식이 얻어졌는지를 평가당한다. 문제에 대한 이해가 없기 때문에, 시간이 지나면 답도 잊고, 알량하게 얻어낸 지식도 빨리 잊는다.
수능처럼 비용이 큰, 그 결과가 많은 인생에 중대한 영향을 끼치는, 시험에서는 그 엄청난 지식의 수준을 평가할 정교함이 치열한 평가문제 출제 과정에서 만들어진다. 실제 환경에서 출제자 본인도 한번도 겪어보지 못한 상황, 또 아마 한번도 일어나지 않을 가정된 상황의 문제들이 그 치열함 속에서 튀어나온다. 영어가 모국어인 외국인이 영문학 문제가 아닌 그냥 수능 영어 문제의 정답을 잘 못 맞추는 이유와 다르지 않다.
불행하게도 수능은 (and/or 수능이 이용되는 방법이) P의 의미를 생각하지 않고 L을 얻었는지를 평가하는 시스템이고, 다시말해 동기가 중요하지 않는 공부를 열심히 하도록 유도하는 시스템이다. 그 시스템의 효율을 참고서, 학원, 그리고 많은 학교가 만들어 내고 있다. 효율이란 P도 아닌 L도 아닌 답을 빨리 얻어내기 위한 방법인지라 검색이 아주 잘 통하는 'open book' 시대에 뒤떨어진 목표이다. 또 많은 수험생이 시간을 들이면 결국 달성하게 되는 효율을 내는 상향평준화된 무한 경쟁속에서, 기계적인 문제 풀이 과정의 실수를 줄이기 위해 의미없는 반복이 강요된다.
또 한번의 수능이 지나간다. 공부를 하면 점수가 올라간다. 그래서 수능을 없애야 한다. 이 주장이 어제오늘이 아니지만, 오늘.. 고도의 정치적 행위인 교육에 정치는 큰 관심이 없어보이는 것이 문제이긴 하다.
* PBL : Problem Basesd Learning, Problem 대신 Project를 쓰기도 한다. Project는 problem의 집합이라고 볼 수 있다. 즉 problem이 계층적으로, 단계적으로 또는 그냥 여러개 모여서 의미있는 뭔가를 하는 경우를 project 라고 부른다.
ps. 수능은 상대평가 시험이다. 수능 출제 방향의 주요 목표가 등급이 아름답게 분리되는 것 이기도 하다. 또 입시와 연계해서는 '선택' 영역이라는 묘한 시스템 때문에 시험 전후에 작전이 동작한다. 많은 아이들이 그 과정에서 다친다. 그 점수를 높이기 위해 재수,삼수를 한다. 긴 인생관점에서 가장 중요한 때에, 의미없는 반복 학습의 시간으로 '실질적 문제 해결 역량의 증가가 없는' 1, 2년을 보내는 거다. 수능을 없앤다고 했지만, 진짜 없애는 것도 방법이고, 문제 은행 방식으로 더 쉽게 출제하여 절대 평가로 바꾸고 대학에서는 최소자격 검증 정도로만 사용하는 것도 방법이라고 본다.
제발이다.
'나라 이야기' 카테고리의 다른 글
| 수능과 대입 (0) | 2023.06.22 |
|---|---|
| 디지털새싹 캠프 회고 간담회 (5) | 2023.03.19 |
| 꿈의학교 학생들에게, 꿈에 대하여 (1) | 2021.12.04 |
| BC/AC가 아닌 DC (During Corona) 시대를 맞아 (0) | 2020.06.05 |
| 정부 긴급재난지원금 신청 (0) | 2020.05.16 |